• Предмет: Алгебра
  • Автор: prostovich79
  • Вопрос задан 9 лет назад

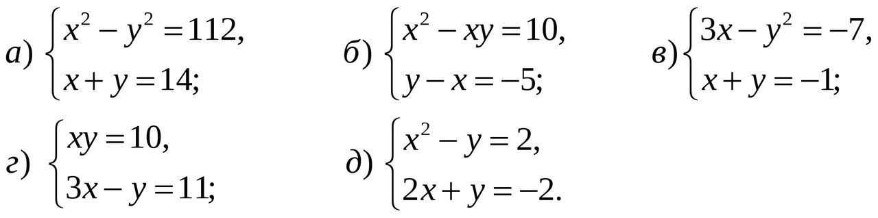
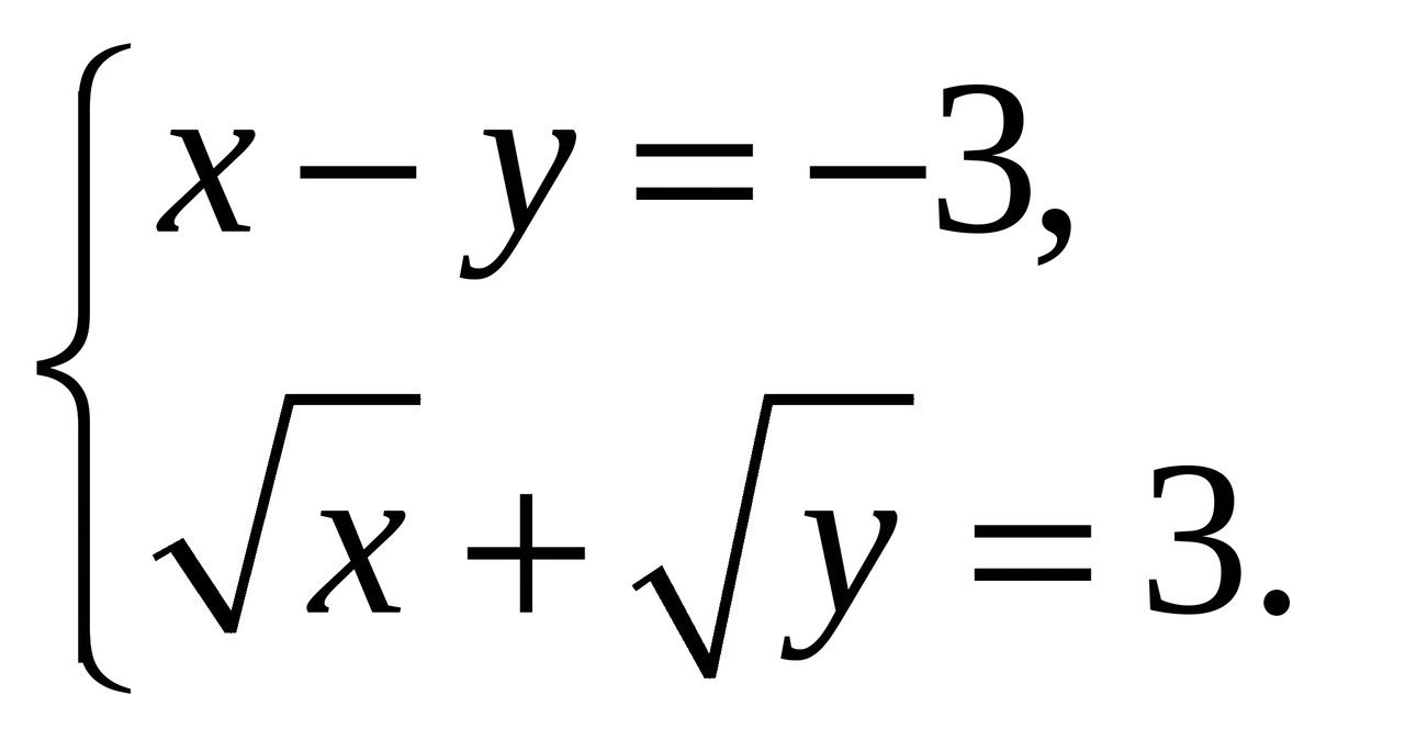
Помогите решить,желательно с решением,даю 57 баллов

Приложения:

Ответа на этот вопрос пока нет. Попробуйте найти его через форму поиска.

Вас заинтересует