• Предмет: Математика
  • Автор: nnv555
  • Вопрос задан 9 лет назад

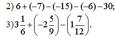
Найдите значение выражения !! напишите все подробно!

Приложения:

Ответы

Ответ дал: халява01
0
1)в первом ответ -10
Вас заинтересует