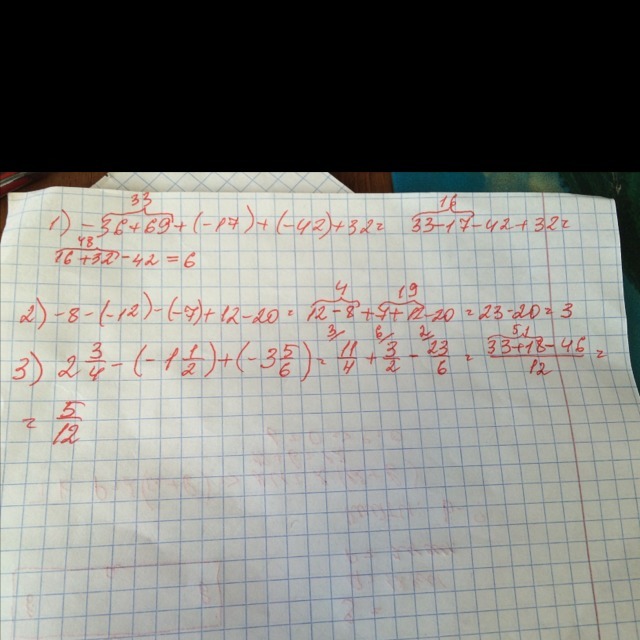
Найдите значение выражения:
1)-36+69+(-17)+(-42)+32;
2)-8-(-12)-(-7)+12-20;
3)2 целых 3/4-(-1целая 1/2)+(-3целых 5/6).
Ответы
Ответ дал:
0
Вот, надеюсь понятно))
Приложения:

Вас заинтересует
2 года назад
2 года назад
7 лет назад
9 лет назад
9 лет назад
10 лет назад