Не могу решить,помогите.
9 класс
Уравнения,сводящиеся к алгебраическим
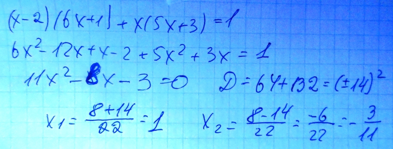
х в квадрате(х-2)(6х+1)+х(5х+3)=1
Ответы
Ответ дал:
0
решение на картинке !!!!!!!!!!!!!!!!!
Приложения:

Вас заинтересует
2 года назад
2 года назад
7 лет назад
9 лет назад
10 лет назад