Ответы
Ответ дал:
0
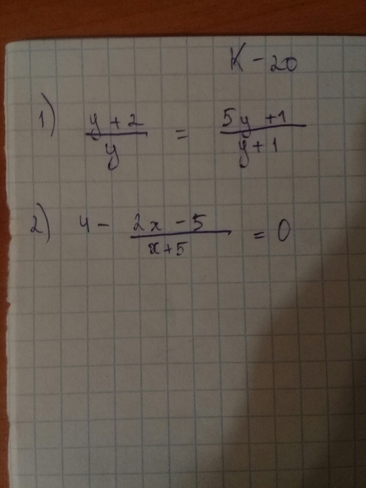
(y+2)(y+1)=y(5y+1)
y^2+3y+2=5y^2+y
4y^2-2y-2=0
2y^2-y-1=0
y=1 или y=-0.5
y^2+3y+2=5y^2+y
4y^2-2y-2=0
2y^2-y-1=0
y=1 или y=-0.5
Вас заинтересует
3 года назад
3 года назад
7 лет назад
7 лет назад
10 лет назад
10 лет назад
10 лет назад