• Предмет: Алгебра
  • Автор: Маргарита0505
  • Вопрос задан 9 лет назад

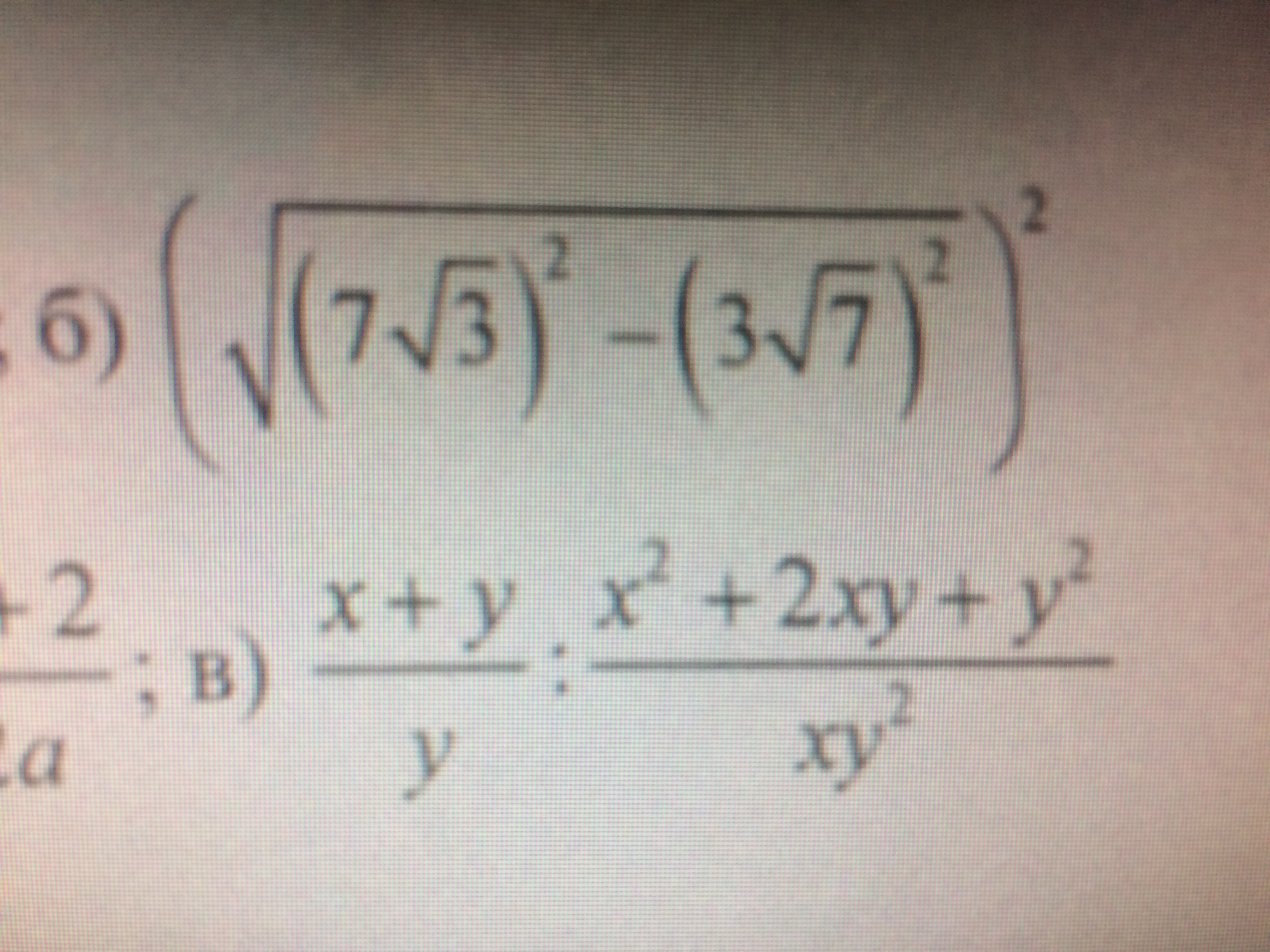
Решите пожалуйста пример под б)

Приложения:

Ответа на этот вопрос пока нет. Попробуйте найти его через форму поиска.

Вас заинтересует