• Предмет: Алгебра
  • Автор: Vlad1337228322
  • Вопрос задан 9 лет назад

номер 10 пожалуйста!!!!!!!!!!!!!!!!!!1

Приложения:

Ответы

Ответ дал: Аска10
0
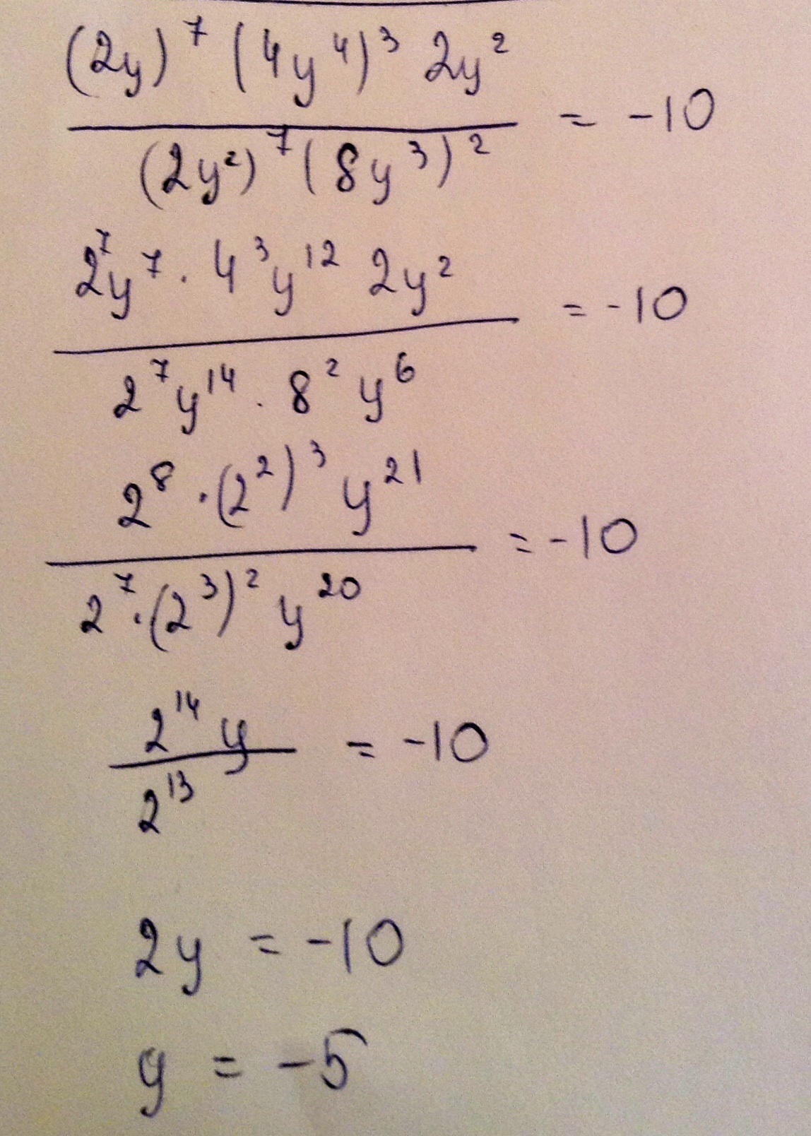
Решение на фотографии
Приложения:
Вас заинтересует