• Предмет: Математика
  • Автор: myxa774
  • Вопрос задан 9 лет назад

ПОМОГИТЕ!!!!!!!!!!!!!!!!!!!!!!!!!!!!!!!!

Приложения:

Ответы

Ответ дал: gvcmmmm
0
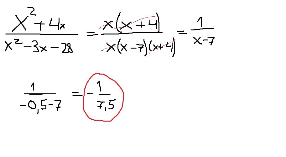
Решение на приложенном файле
Приложения:
Вас заинтересует