• Предмет: Математика
  • Автор: СашатС1
  • Вопрос задан 9 лет назад

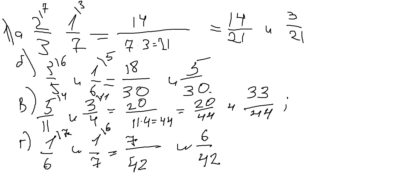
3 задание
Пожалуйста можно с объя- снением

Приложения:

Ответы

Ответ дал: RendelWay
0
Смотри бро, всё просто, общей знаменатель - это число которое делится и на число под первой дробью и под второй, самый простой способ его найти умножить нижнее число первой дроби на нижнее число второй, а потом числитель ( верхнее число) первой дроби домножаешь на знаменатель второй и соответственно, числитель второй дроби на знаменатель первой. Первое я тебе решил, если надо могу решить и остальные.
Приложения:
Вас заинтересует