Ответы
Ответ дал:
0
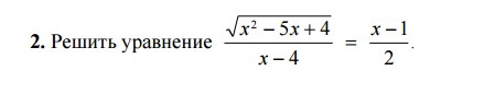
x²-5x+4=(x-1)(x-4)
√(x-1)(x-4)÷(x-4)=√(x-1)(x-4)/√(x-4)²=√(x-1)/√(x-4)
Возведём левую и правую части верного равенства в квадрат,умножим левую и правую части на 1/(x-1),приведём дроби к общему знаменателю, перенесём слагаемые из правой части в левую,получим верное равенство
x²-5x=0, x(x-5)=0 x₁=0, x₂=5
√(x-1)(x-4)÷(x-4)=√(x-1)(x-4)/√(x-4)²=√(x-1)/√(x-4)
Возведём левую и правую части верного равенства в квадрат,умножим левую и правую части на 1/(x-1),приведём дроби к общему знаменателю, перенесём слагаемые из правой части в левую,получим верное равенство
x²-5x=0, x(x-5)=0 x₁=0, x₂=5
Вас заинтересует
2 года назад
2 года назад
7 лет назад
10 лет назад
10 лет назад
10 лет назад