Ответы
Ответ дал:
0
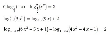
6log(-x,1/2) - log(x^2,1/2)^2 = 2
6 log(-x,1/2) - 4log(-x,1/2)^2 = 2
t = log(-x,1/2)
2t^2 - 3t + 1 = 0
D = 9 - 8 = 1
t1 = (3+1)/4 = 1
t2 = (3-1)/4 = 1/2
log(-x,1/2) = 1 => x = -1/2
log(-x,1/2) = 1/2 => x = -корень(2)/2
6 log(-x,1/2) - 4log(-x,1/2)^2 = 2
t = log(-x,1/2)
2t^2 - 3t + 1 = 0
D = 9 - 8 = 1
t1 = (3+1)/4 = 1
t2 = (3-1)/4 = 1/2
log(-x,1/2) = 1 => x = -1/2
log(-x,1/2) = 1/2 => x = -корень(2)/2
Вас заинтересует
3 года назад
7 лет назад
7 лет назад
10 лет назад
10 лет назад