• Предмет: Математика
  • Автор: antonymoris
  • Вопрос задан 9 лет назад

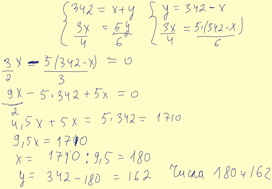
Число 342 разделили на два числа,что
3/4 первого числа равны 5/6 второго числа.Найдите эти числа

Ответы

Ответ дал: almaznak
0
qwfwqgfvewqgwergherghr
Приложения:
Ответ дал: almaznak
0
чТО?
Вас заинтересует