• Предмет: Алгебра
  • Автор: 5AcidCat5
  • Вопрос задан 9 лет назад

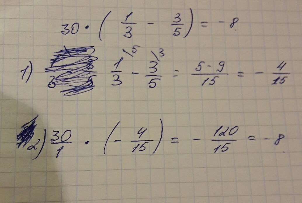
Вычислите: 30 x (1/3 - 3/5)
Помогите пожалуйста!

Ответы

Ответ дал: karinkarmen24
0
ответ: -8
оцените, пожалуйста, ответ.
Приложения:
Ответ дал: 5AcidCat5
0
Спасибо большое, всё правильно.
Вас заинтересует