Ответы
Ответ дал:
0
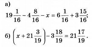
а) 18 17/16 - 4 8/16 - x =6 1/16 + 3 15/16
14 9/16 - x=9 16/16
14 9/16 - 9 16/16=x
13 25/16 - 9 16/16=x
4 9/16 = x
x=4,5625
б) x + 21 3/19=21 17/19 + 3 18/19
x+21 3/19= 24 35/19
x=24 35/19 - 21 3/19
x= 3 32/19
x=4 13/19
а) 6 2/15 - 4 13/15=x
5 17/15 - 4 13/15=x
x=1 4/15
б) 5/18 +x =2 17/18 +7 7/18
5/18+x =9 24/18
x=9 24/18 - 5/18
x=9 19/18
x=10 1/18
14 9/16 - x=9 16/16
14 9/16 - 9 16/16=x
13 25/16 - 9 16/16=x
4 9/16 = x
x=4,5625
б) x + 21 3/19=21 17/19 + 3 18/19
x+21 3/19= 24 35/19
x=24 35/19 - 21 3/19
x= 3 32/19
x=4 13/19
а) 6 2/15 - 4 13/15=x
5 17/15 - 4 13/15=x
x=1 4/15
б) 5/18 +x =2 17/18 +7 7/18
5/18+x =9 24/18
x=9 24/18 - 5/18
x=9 19/18
x=10 1/18
Вас заинтересует
2 года назад
7 лет назад
10 лет назад
10 лет назад