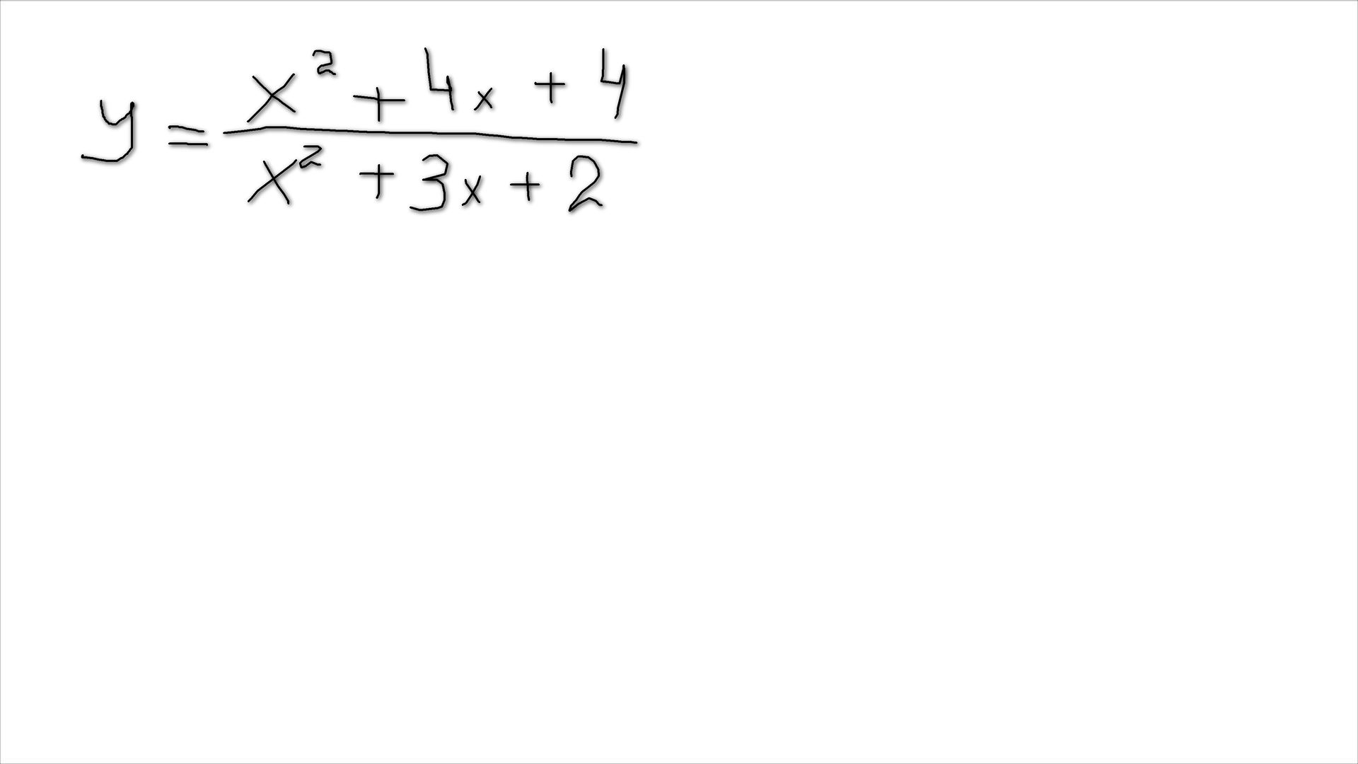
Постройте график функции (во вложении) и найдите, при каких значениях параметра К прямая y=5k имеет с графиком хотя бы одну общую точку.
Приложения:

Ответа на этот вопрос пока нет. Попробуйте найти его через форму поиска.
Вас заинтересует
2 года назад
2 года назад
8 лет назад
10 лет назад
10 лет назад
10 лет назад