Ответы
Ответ дал:
0
1) Сразу совет: решения к первым пунктам тебе дам не просто так, они помогут. Также советую вспомнить формулы сокращённого умножения.
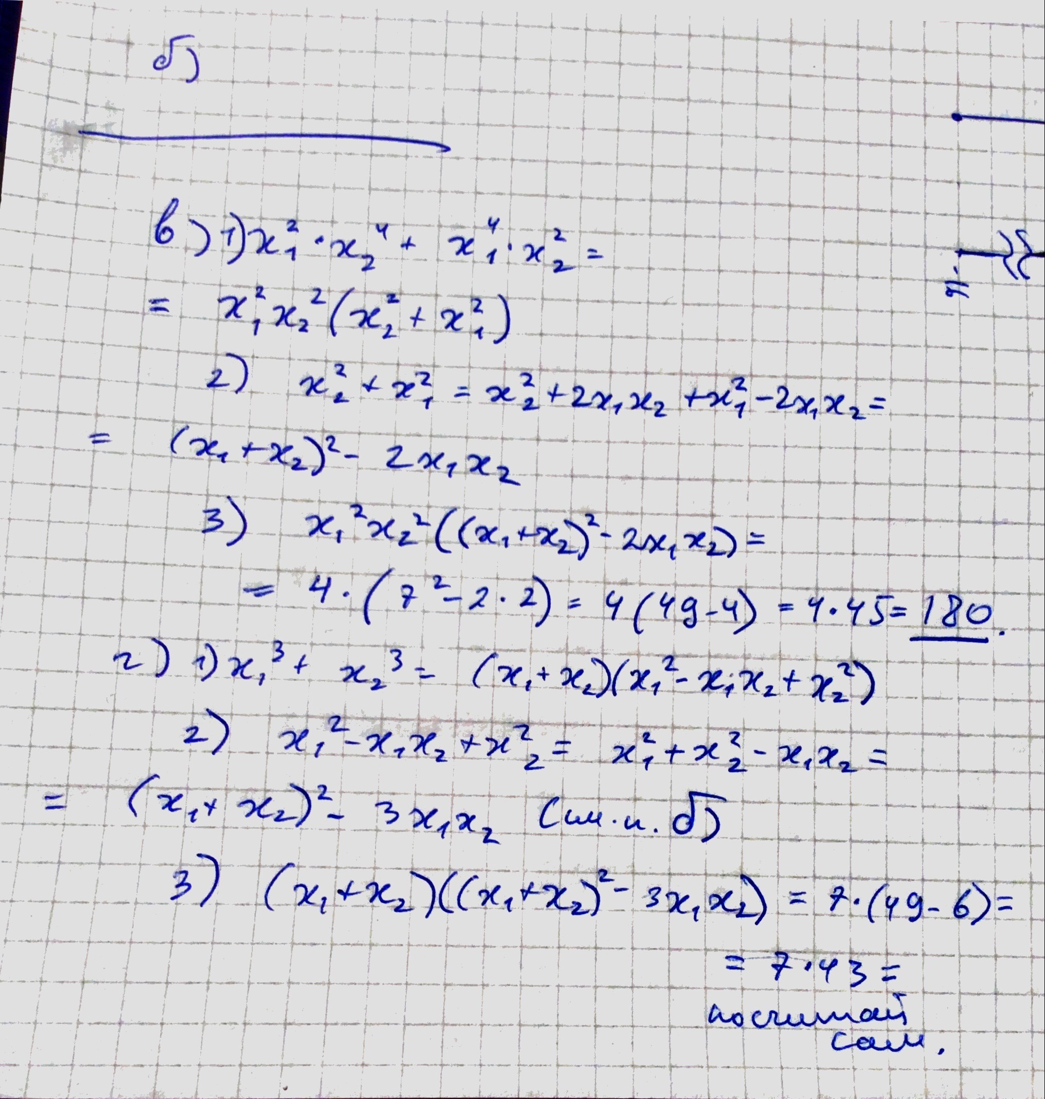
2) Ниже - скриншот решений. Здесь, надеюсь, всё понятно: в обоих пунктах понадобилось решение из пункта Б, в последнем пункте я использовала формулу суммы кубов.
2) Ниже - скриншот решений. Здесь, надеюсь, всё понятно: в обоих пунктах понадобилось решение из пункта Б, в последнем пункте я использовала формулу суммы кубов.
Приложения:
Вас заинтересует
2 года назад
2 года назад
7 лет назад
7 лет назад
10 лет назад
10 лет назад
10 лет назад