Найдите все такие пары действительных чисел x и y для которых 25^(x^4 - y^2) + 25^(y^4 - x^2) = 2/sqrt(5)
//sqrt(x) - квадратный корень из x
Ответы
Ответ дал:
0
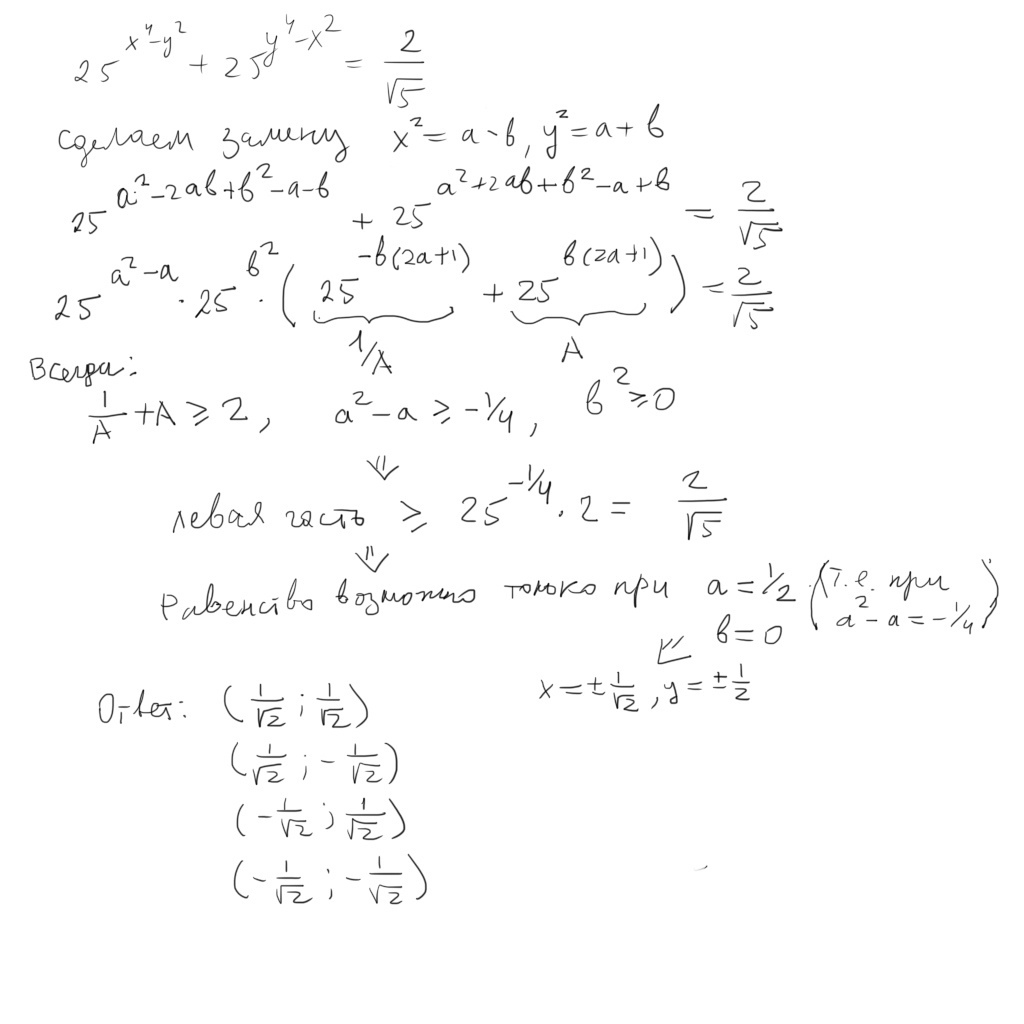
Решение прицеплено в картинке.
Приложения:

Ответ дал:
0
Ответы разные что ли?
Ответ дал:
0
Ответ ответ ответ ответ ответ ответ
Приложения:

Ответ дал:
0
1/sqrt(5) т.к. на 2 уже разделили.
Ответ дал:
0
и хотя это почти очевидно, в решении только проверяется х=у и х=-у. А это не доказывает, что других корней нет.
Вас заинтересует
2 года назад
2 года назад
7 лет назад
7 лет назад
9 лет назад
10 лет назад