Ответы
Ответ дал:
0
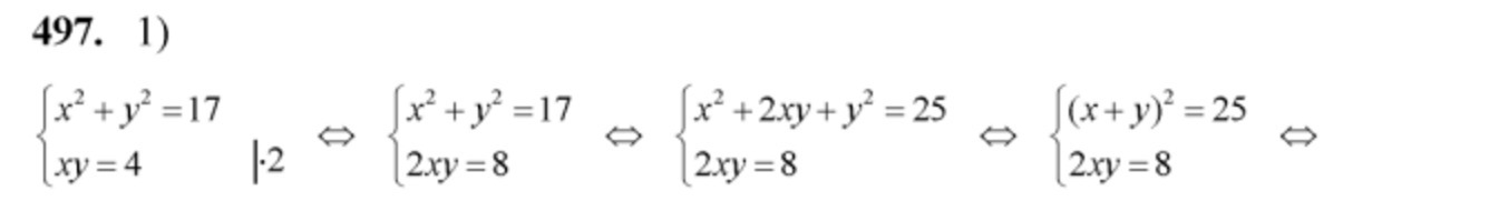
Сперва умножают на 2 второе уравнение, для дальнейшего упрощения (удобно)) так делать можно, если умножать обе части уравнения (левую и правую)
Потом первое уравнение складывают со вторым и получается
х²+у²=17
+
2ху=8
________
х²+2ху+у²=17+8;
х²+2ху+у²=25;
в левой части уравнения -формула, сворачивается и получается (х+у)²=25
Потом первое уравнение складывают со вторым и получается
х²+у²=17
+
2ху=8
________
х²+2ху+у²=17+8;
х²+2ху+у²=25;
в левой части уравнения -формула, сворачивается и получается (х+у)²=25
Вас заинтересует
2 года назад
2 года назад
7 лет назад
10 лет назад
10 лет назад
10 лет назад
10 лет назад