• Предмет: Геометрия
  • Автор: daniilill
  • Вопрос задан 9 лет назад

Помогите решить задачку. Не очень сложную!

Приложения:

Ответы

Ответ дал: Лавган
0
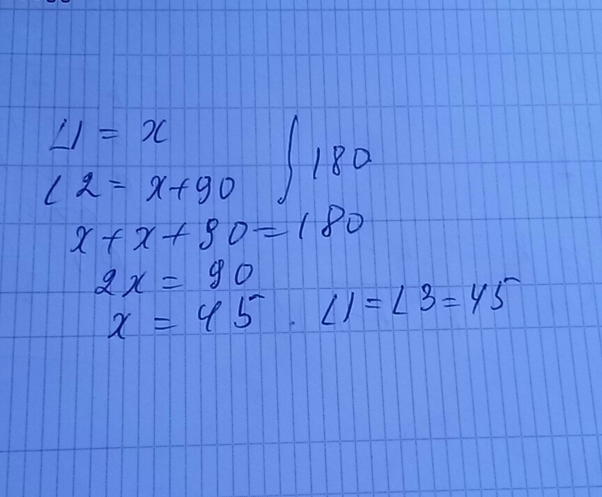
решение задания на фото
Приложения:
Вас заинтересует