• Предмет: Математика
  • Автор: KanZey
  • Вопрос задан 9 лет назад

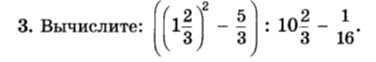
помогите пожалуйста заранее спасибо

Приложения:

Ответы

Ответ дал: СОФЬЯ5555555
0
Ну вот как-то так... Вроде-бы правильно...
Приложения:
Вас заинтересует