• Предмет: Алгебра
  • Автор: propper325
  • Вопрос задан 9 лет назад

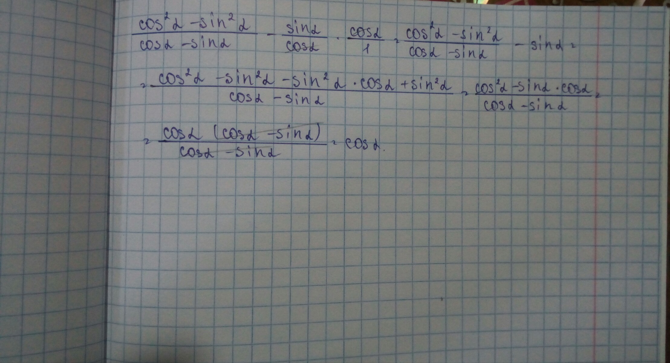
Доказать (cos^2a-Sin^2a/cosa-sina)-tga*cosa=cosa . То что в скобках это одна дробь. Помогите решить пожалуйста!!! 70 баллов даю!!!

Ответы

Ответ дал: Belka160101
0
Вот, держи!!!!!!!!!!!
Приложения:
Вас заинтересует