Пожалуйста, помогите!!))
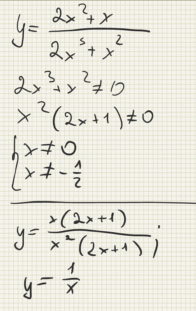
Постройте график функции у = 2х^2+х / 2х^3+х^2 и определите, при каких значениях k прямая у = kx имеет с графиком ровно одну общую точку.
Ответы
Ответ дал:
0
При k=4 примая y=kx имеетровноодну общую точку с графиком
Приложения:


Вас заинтересует
2 года назад
2 года назад
8 лет назад
8 лет назад
10 лет назад
10 лет назад
10 лет назад