• Предмет: Математика
  • Автор: iNtonacia
  • Вопрос задан 9 лет назад

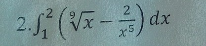
Решите пожалуйста. Пример на картинке.

Приложения:

Ответы

Ответ дал: Аноним
0
displaystyle  intlimits^2_1 {bigg( sqrt[9]{x}- frac{2}{x^5}  bigg)} , dx = intlimits^2_1 {sqrt[9]{x}} , dx - intlimits^2_1 {frac{2}{x^5}} , dx = intlimits^2_1 {x^big{ frac{1}{9} }} , dx -2intlimits^2_1 {x^big{-5}} , dx=\ \ \ = frac{9x^big{ frac{10}{9} }}{10}  bigg|^2_1+ frac{1}{2x^4}bigg|^2_1= frac{9cdot 2^big{ frac{10}{9} }}{10}-frac{9cdot 1^big{ frac{10}{9} }}{10}+ frac{1}{2cdot 2^4}- frac{1}{2cdot 1^4}= frac{3(96 sqrt[9]{2}-73) }{160}
Вас заинтересует