• Предмет: Алгебра
  • Автор: anna221003
  • Вопрос задан 9 лет назад

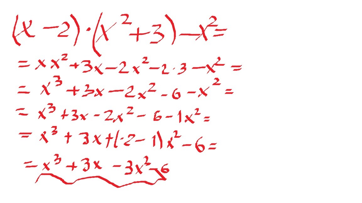
упростите выражение (х-2)(х^2+3)-х^2

Ответы

Ответ дал: Kixcertborn2
0
Задание решено!!!Ответ во вложении!!
Приложения:
Вас заинтересует