• Предмет: Алгебра
  • Автор: kyskys
  • Вопрос задан 9 лет назад

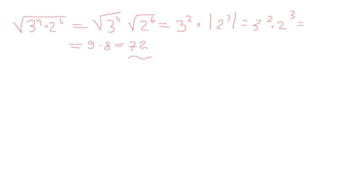
 sqrt{3} ^{4} *2 ^{6} =

Ответы

Ответ дал: Kixcertborn2
0
Задание решено!!!Ответ во вложении!!
Приложения:
Ответ дал: kyskys
0
спасибо)
Ответ дал: ШереметИрина
0
_))))))))))))))))))))))))))))))))))))))))))))))))))))
Приложения:
Ответ дал: kyskys
0
спасибо)
Ответ дал: ШереметИрина
0
обращайся)
Вас заинтересует