• Предмет: Математика
  • Автор: KirillLenovo
  • Вопрос задан 9 лет назад

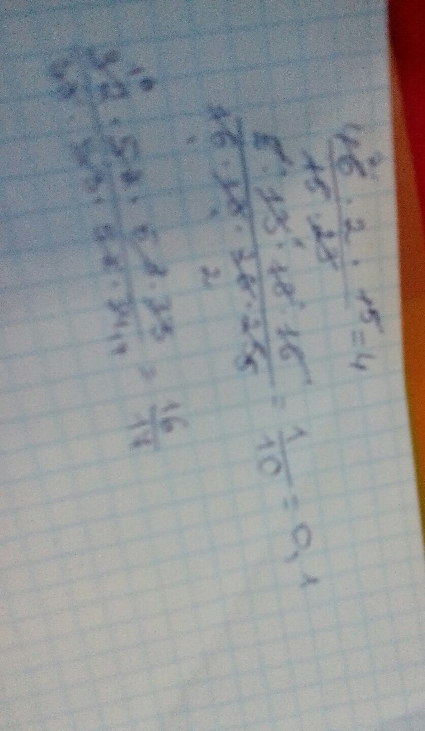
Помогите с дробями пожалуйста:
(46*2/15)*15/23=
(5/16*13/18)*(18/26*16/25)=
32/33*52/53*(53/52*33/34)=

Ответы

Ответ дал: Dianka12511
0
решение................ ответ
Приложения:
Ответ дал: Dianka12511
0
не за что
Вас заинтересует