• Предмет: Алгебра
  • Автор: Порос123
  • Вопрос задан 9 лет назад

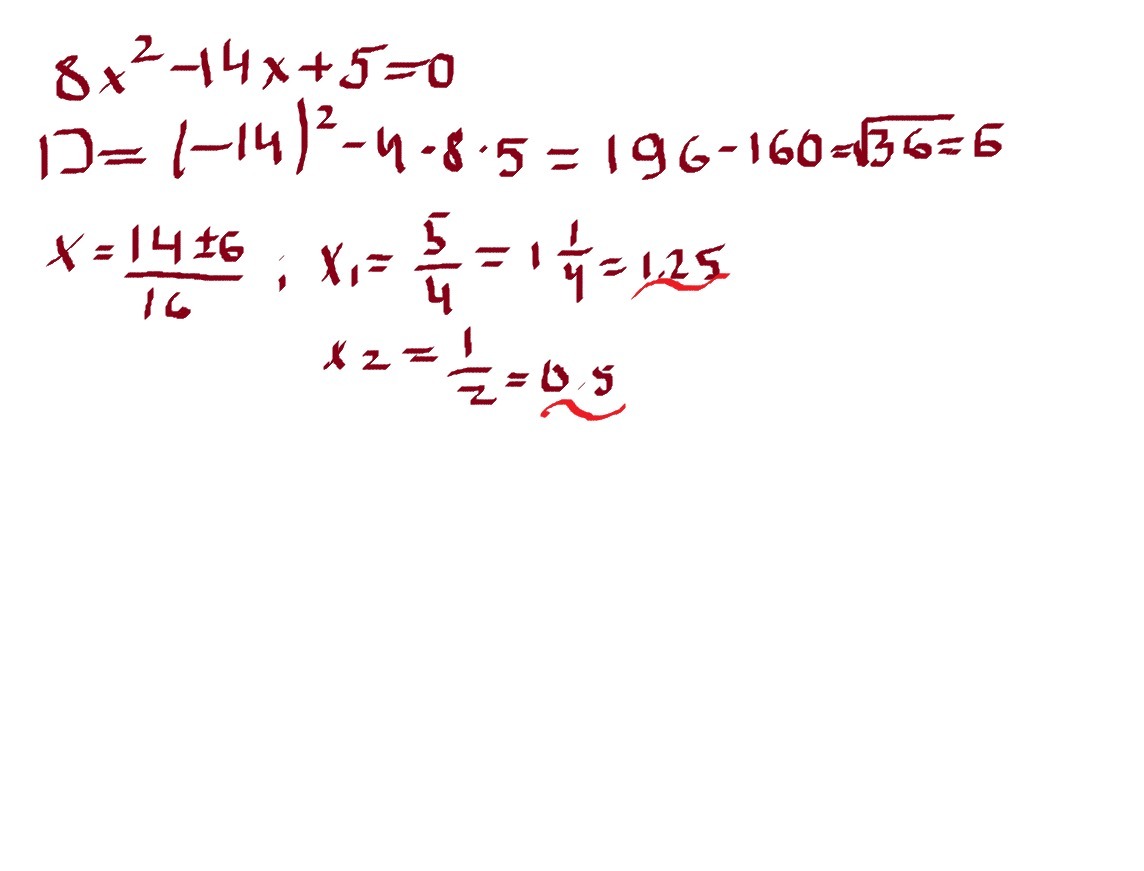
3)8x^2-14x+5=0 Решите уравнение

Ответы

Ответ дал: Kixcertborn2
0
Задание решено!!!Ответ во вложении!!
Приложения:
Вас заинтересует