• Предмет: Алгебра
  • Автор: avilika
  • Вопрос задан 9 лет назад

помогите решить.
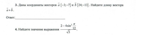
в 3. должно быть 29
в 4 должно быть 1.

Приложения:

Ответа на этот вопрос пока нет. Попробуйте найти его через форму поиска.

Вас заинтересует