• Предмет: Математика
  • Автор: дюлшот
  • Вопрос задан 9 лет назад

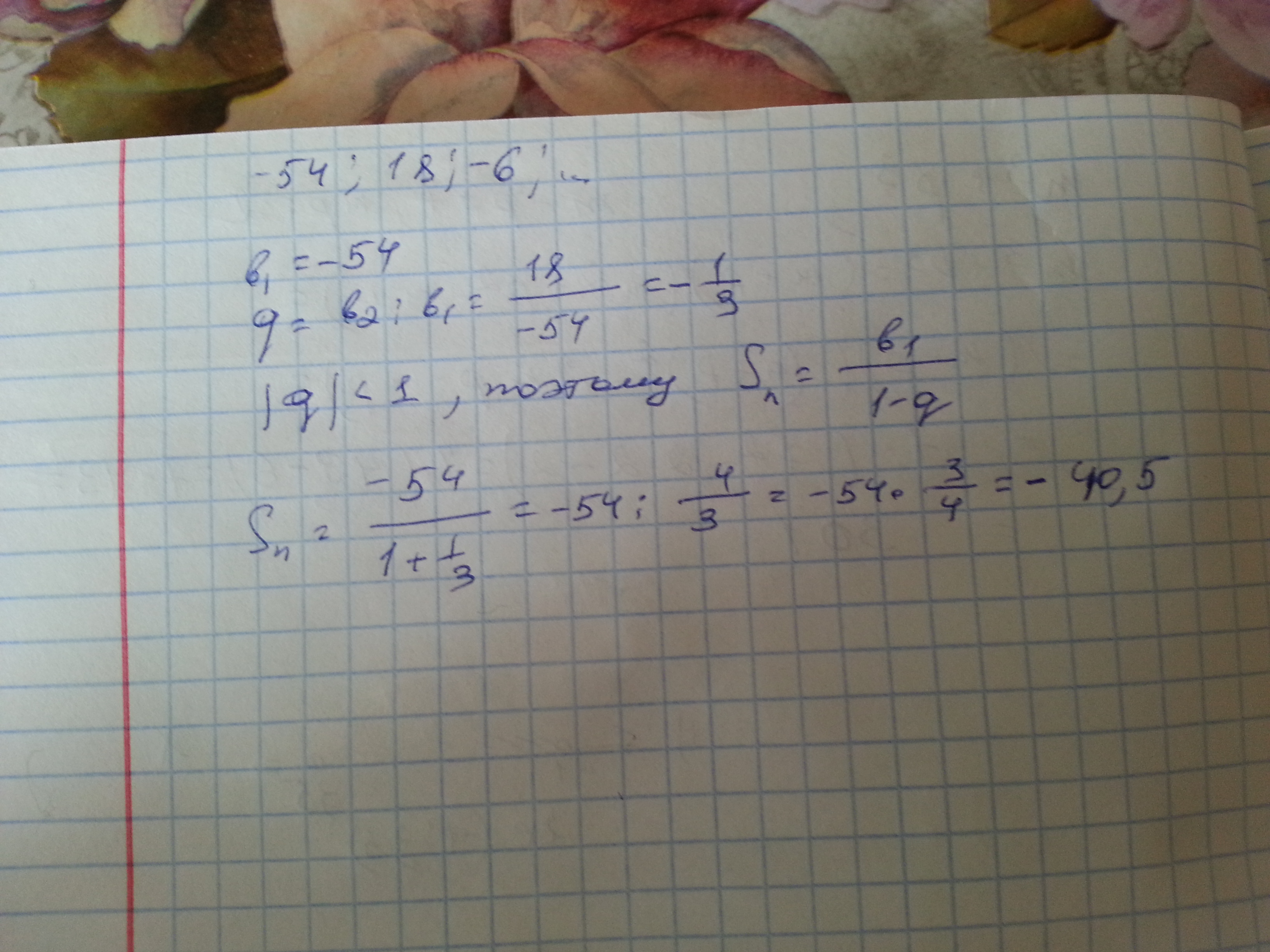
Найдите сумму бесконечной геометрической прогрессии -54 18 -6

Ответы

Ответ дал: amin07am
0
Ответ ответ ответ ответ ответ
Приложения:
Вас заинтересует