Ответы
Ответ дал:
0
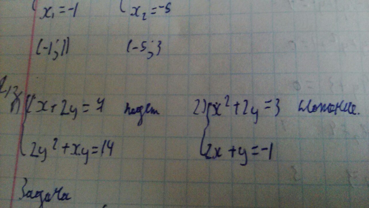
1) 
x = 7 - 2y
2y² + y(7-2y) = 14
2y² + 7y - 2y² = 14
7y = 14
y = 2
x = 7 - 2*2
x = 7 - 4
x = 3
2)

Вычтем из первого уравнения удвоенное второе:
x² + 2y - 4x - 2y = 3 - (-2)
x² - 4x = 5
x² - 4x - 5 = 0
D = 16 + 20 = 36
x₁ =
x₂ =
Если подставим во второе уравнение x₁, то получим:
2*(-1) + y = -1
-2 + y = -1
y₁ = 1
Если подставим во второе уравнение x₂, то получим:
2*(5) + y = -1
10 + y = -1
y₂ = -11
Удачи!
x = 7 - 2y
2y² + y(7-2y) = 14
2y² + 7y - 2y² = 14
7y = 14
y = 2
x = 7 - 2*2
x = 7 - 4
x = 3
2)
Вычтем из первого уравнения удвоенное второе:
x² + 2y - 4x - 2y = 3 - (-2)
x² - 4x = 5
x² - 4x - 5 = 0
D = 16 + 20 = 36
x₁ =
x₂ =
Если подставим во второе уравнение x₁, то получим:
2*(-1) + y = -1
-2 + y = -1
y₁ = 1
Если подставим во второе уравнение x₂, то получим:
2*(5) + y = -1
10 + y = -1
y₂ = -11
Удачи!
Вас заинтересует
3 года назад
3 года назад
7 лет назад
10 лет назад