• Предмет: Алгебра
  • Автор: artemtishin199
  • Вопрос задан 9 лет назад

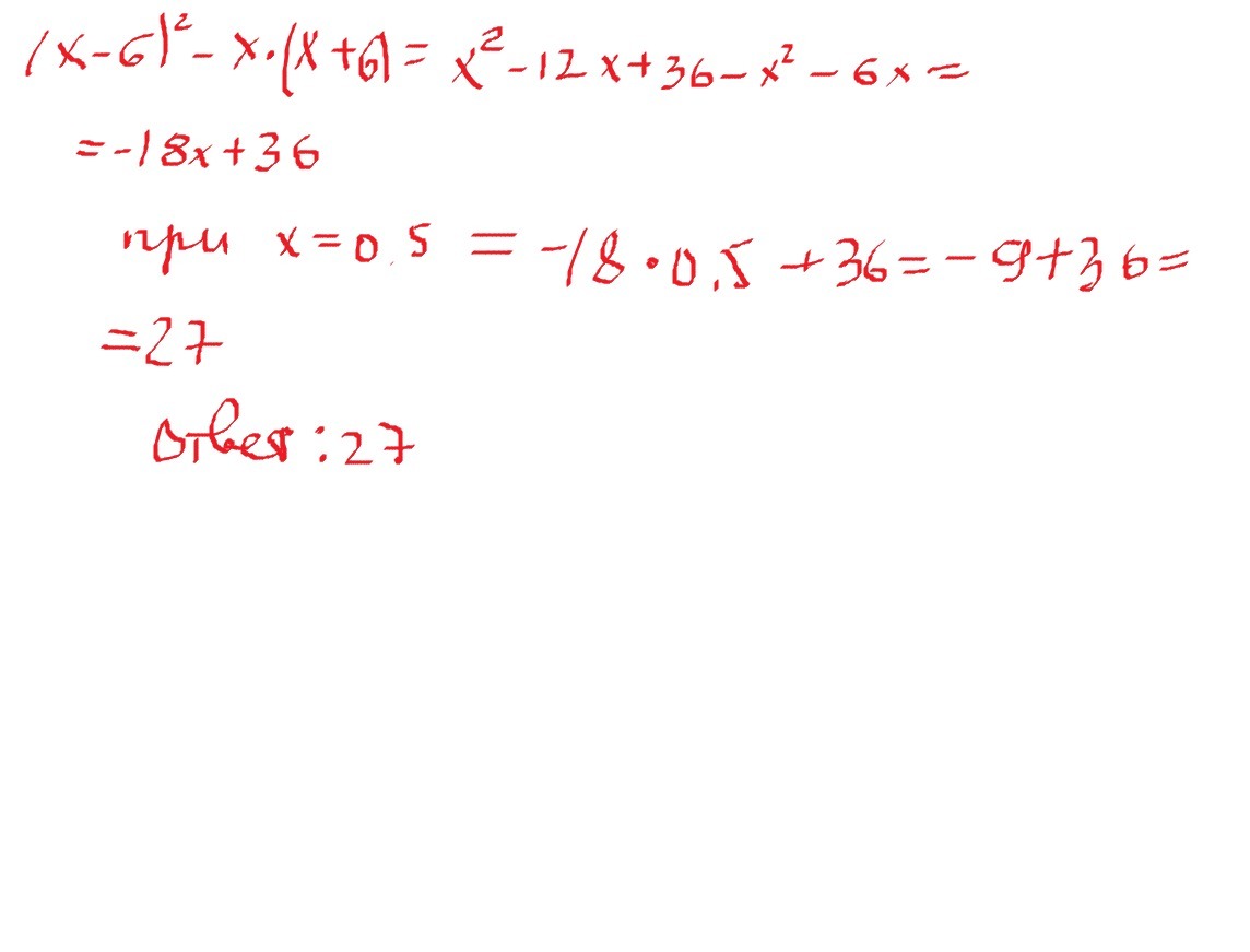
(x-6)²-x(x+6) приx=0,5

Ответы

Ответ дал: popihaa
0
х^2-12х+36-х^2-6х= -18х+36
при х=0,5. -18*0,5+36=-9+36=27
Ответ дал: Kixcertborn2
0
Задание решено!!!Ответ во вложении!!
Приложения:
Вас заинтересует