• Предмет: Алгебра
  • Автор: yara96
  • Вопрос задан 11 лет назад

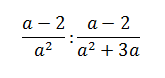
решите пожалуйста.вложено

Приложения:

Ответы

Ответ дал: Alinochka1010
0

Моё решение во вложениях, если что-то не видно, пиши в личное сообщение.

Приложения:
Вас заинтересует