• Предмет: Алгебра
  • Автор: stailsss
  • Вопрос задан 9 лет назад

Дробное рациональное уравнение
пазалуста

Приложения:

Ответы

Ответ дал: Kixcertborn2
0
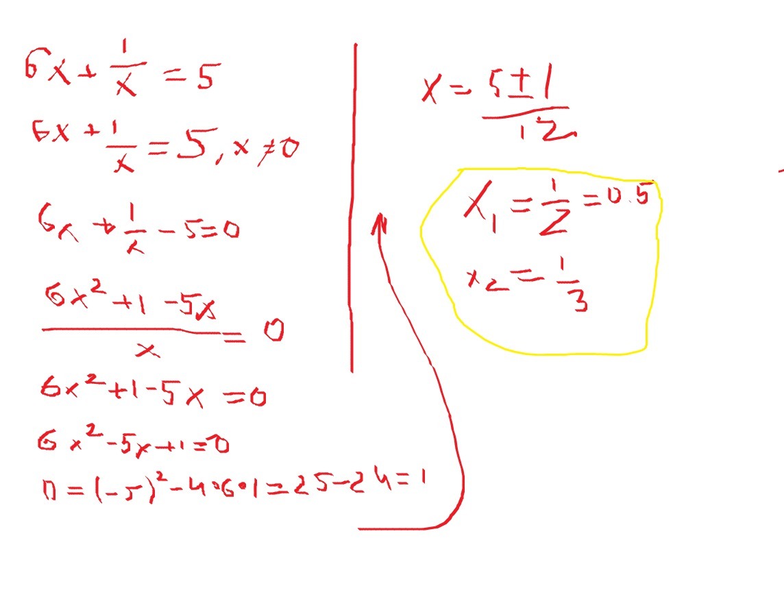
Задание решено!!!Ответ во вложении!!!
Приложения:
Вас заинтересует