Ответы
Ответ дал:
0
Без проблем
б3
1)(а+4) в квадрате
26. 34
(600плюс600) в квадрате
потом получается в конце 0.01
б3
1)(а+4) в квадрате
26. 34
(600плюс600) в квадрате
потом получается в конце 0.01
Ответ дал:
0
короче со вторым
Ответ дал:
0
не умеешь
Ответ дал:
0
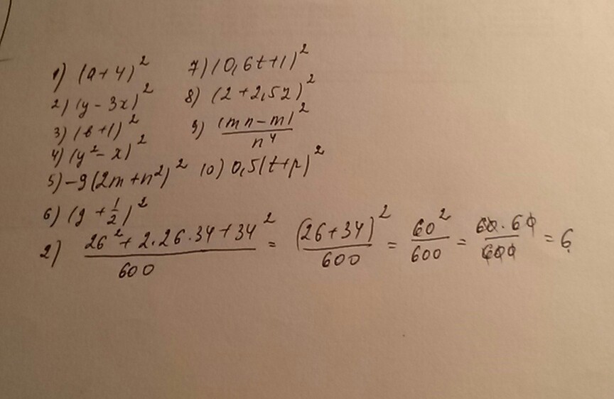
решение задания на фото
Приложения:

Ответ дал:
0
ты решил Б-3, а ещё можешь решить Б-4
Ответ дал:
0
решиши пожалуйста Б-4
Вас заинтересует
2 года назад
2 года назад
7 лет назад
7 лет назад
9 лет назад
10 лет назад
10 лет назад