• Предмет: Алгебра
  • Автор: cherkash999
  • Вопрос задан 9 лет назад

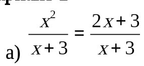
Помогите решить через дискриминант:

Приложения:

Ответы

Ответ дал: pingi2159
0
ОДЗ: x≠-3
тогда x²-2x-3=0
D=b²-4ac=4+12=16
x1=3 x2=-1
Ответ дал: cherkash999
0
x2=-1 вроде? Я сейчас поделила, вышло -1
Вас заинтересует