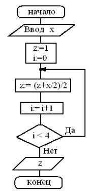
Дана блок-схема. Какое значение будет иметь z на выходе, если x=14? (При решении и в ответе округляй до десятых)
Приложения:

Ответы
Ответ дал:
0
z = 1; i = 0
z = (z+x/2)/2 = (1+14/2)/2 = 4; i = i+1 = 0+1 = 1; i<4 ⇒ 1<4 ⇒ да
z = (z+x/2)/2 = (4+14/2)/2 = 5.5; i = i+1 = 1+1 = 2; i<4 ⇒ 2<4 ⇒ да
z = (z+x/2)/2 = (5.5+14/2)/2 = 6.25 (≈6.3); i = i+1 = 2+1 = 3; i<4 ⇒ 3<4 ⇒ да
z = (z+x/2)/2 = (6.25+14/2)/2 = 6.625 (≈6.7); i = i+1 = 3+1 = 4; i<4 ⇒ 4<4 ⇒ нет
Ответ: z = 6.625 (если округлять - 6.7)
z = (z+x/2)/2 = (1+14/2)/2 = 4; i = i+1 = 0+1 = 1; i<4 ⇒ 1<4 ⇒ да
z = (z+x/2)/2 = (4+14/2)/2 = 5.5; i = i+1 = 1+1 = 2; i<4 ⇒ 2<4 ⇒ да
z = (z+x/2)/2 = (5.5+14/2)/2 = 6.25 (≈6.3); i = i+1 = 2+1 = 3; i<4 ⇒ 3<4 ⇒ да
z = (z+x/2)/2 = (6.25+14/2)/2 = 6.625 (≈6.7); i = i+1 = 3+1 = 4; i<4 ⇒ 4<4 ⇒ нет
Ответ: z = 6.625 (если округлять - 6.7)
Ответ дал:
0
Пожалуйста.
Вас заинтересует
2 года назад
2 года назад
7 лет назад
7 лет назад
9 лет назад