Ответы
Ответ дал:
0
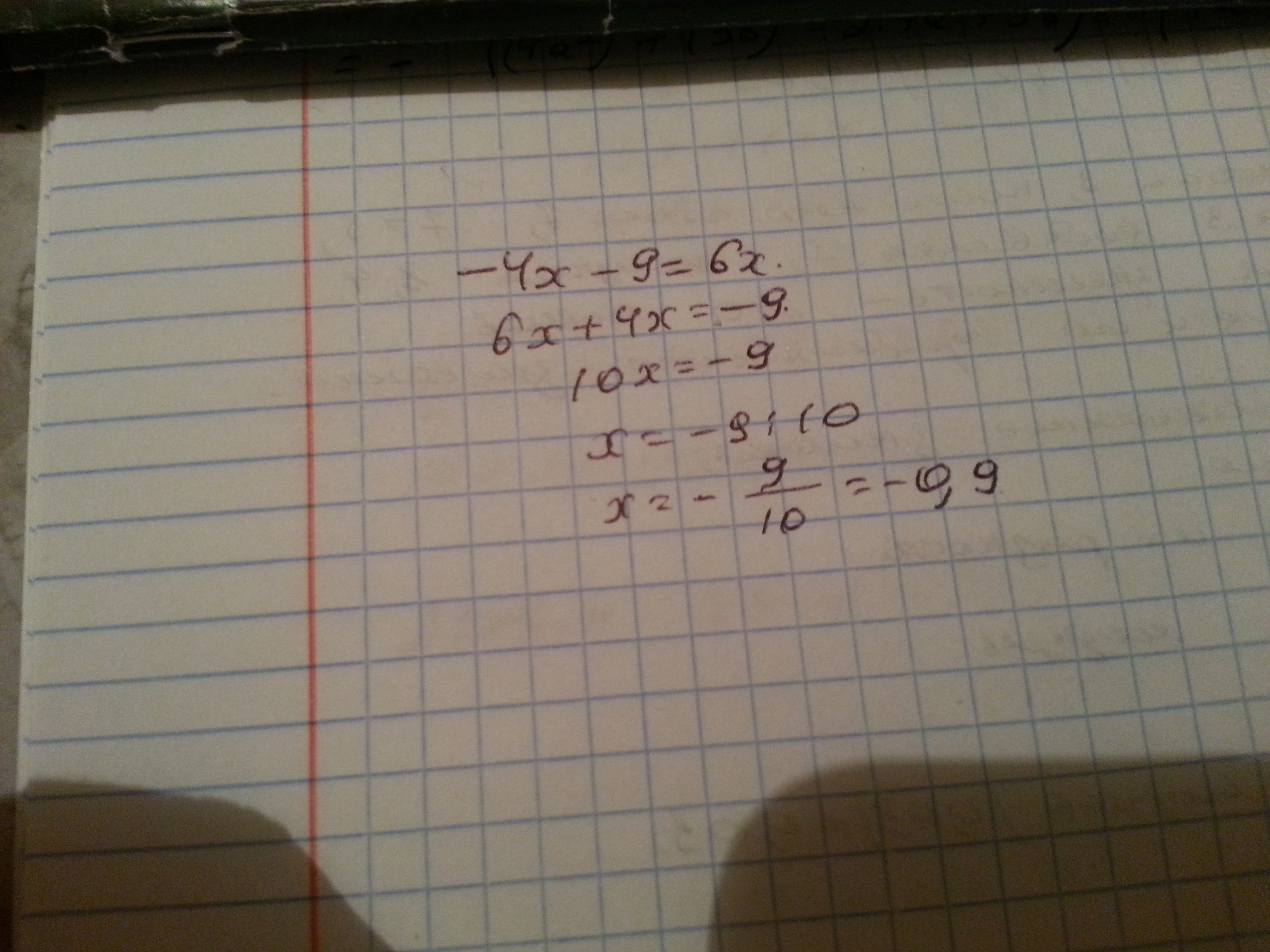
- 4x - 9 = 6x
- 4x - 6x = 9
- 10x = 9
x = - 9/10
x = - 0,9
- 4x - 6x = 9
- 10x = 9
x = - 9/10
x = - 0,9
Ответ дал:
0
Ответ ответ ответ ответ ответ
Приложения:

Вас заинтересует
2 года назад
2 года назад
7 лет назад
7 лет назад
9 лет назад
10 лет назад
10 лет назад