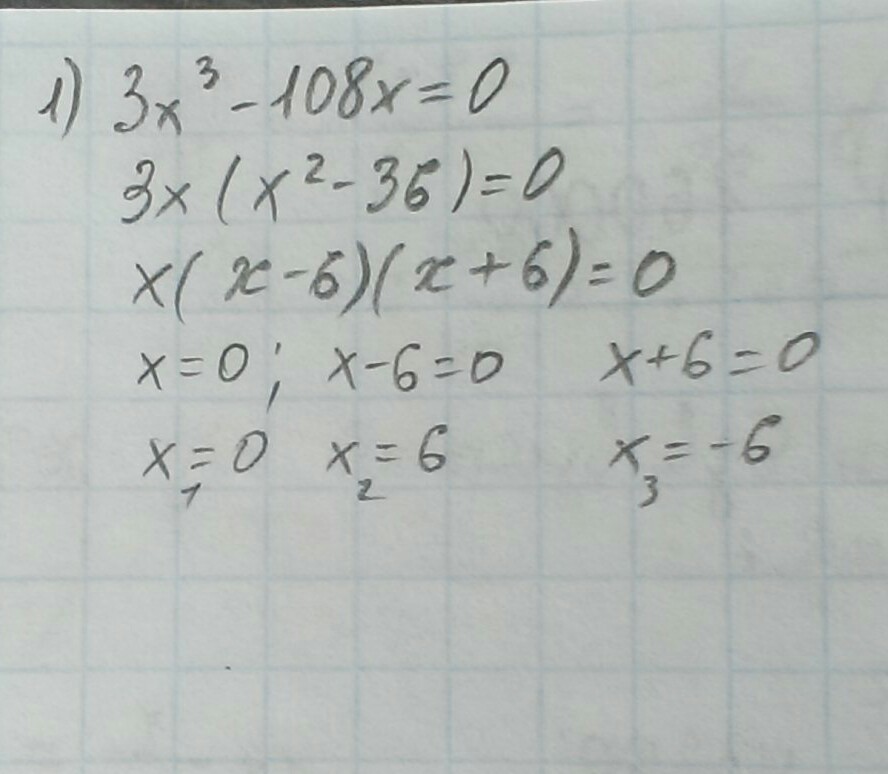
Решите уравнение 1) 3х^3-108х=0 2) 121х^3-22х^2+х=0 3) х^3-2х^2-9х+18=0 Решите подалуйста Срочно )))))
Ответы
Ответ дал:
0
держи!!) хороших тебе оценок)) не забудь поставить лайк!)
Приложения:

Ответ дал:
0
а 2 и 3
Вас заинтересует
2 года назад
7 лет назад
7 лет назад
9 лет назад
9 лет назад
10 лет назад
10 лет назад