• Предмет: Математика
  • Автор: mezhin
  • Вопрос задан 9 лет назад

помогите!!! дайте только ответы плачу 50баллов за ответ

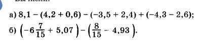
Приложения:

Ответы

Ответ дал: anonimusanonim1
0
а) 8,1-4,8+1,1-6,9=9,2-11,7=-2,5
б) -419/300+1319/300=2
Вас заинтересует