Ответы
Ответ дал:
0
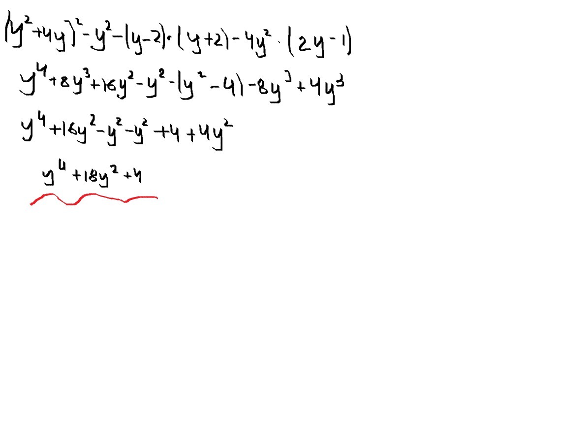
Задание решено!!!Ответ во вложении!!!
Приложения:

Вас заинтересует
2 года назад
7 лет назад
9 лет назад
9 лет назад