• Предмет: Алгебра
  • Автор: a1exe
  • Вопрос задан 9 лет назад

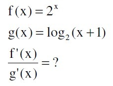
помогите решить
в ответе написано 2^x(x+1)
но я не понимаю
почему ?

Приложения:

Ответа на этот вопрос пока нет. Попробуйте найти его через форму поиска.

Вас заинтересует