• Предмет: Алгебра
  • Автор: Аноним
  • Вопрос задан 9 лет назад

Решите, задания во вложении

Приложения:

Ответы

Ответ дал: Аноним
0
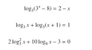
log_3(3^x-8)=2-x
ОДЗ: 3^x-8 textgreater  0;x textgreater  log_3 8
log_3(3^x-8)=log_3 9 -log_3 3^x
3^x-8=9*3^{-x}
3^x=t
t-8= frac{9}{t}
t^2-8t-9=0
(t+1)(t-9)=0
t_1=-1;t_2=9

3^x=9
x=2



log_3x+log_3(x+1)=1
ОДЗ: x textgreater  0
log_3x(x+1)=log_3 3
x^2+x-3=0
x_1= frac{-1+ sqrt{13} }{2} ;x_2= frac{-1- sqrt{13} }{2} ;
С учетом ОДЗ: x= frac{-1+ sqrt{13} }{2}


2log^2_3 x+10log_9x-3=0
ОДЗ:x>0

2log^2_3 x+5log_3x-3=0
log_3x=t
2t^2+5t-3=0
(t+3)(2t-1)=0

t_1=-3;t_2=0.5
log_3 x=-3;x= frac{1}{27}
log_3x=0.5;x= sqrt{3}

Вас заинтересует