Разложите на множители:
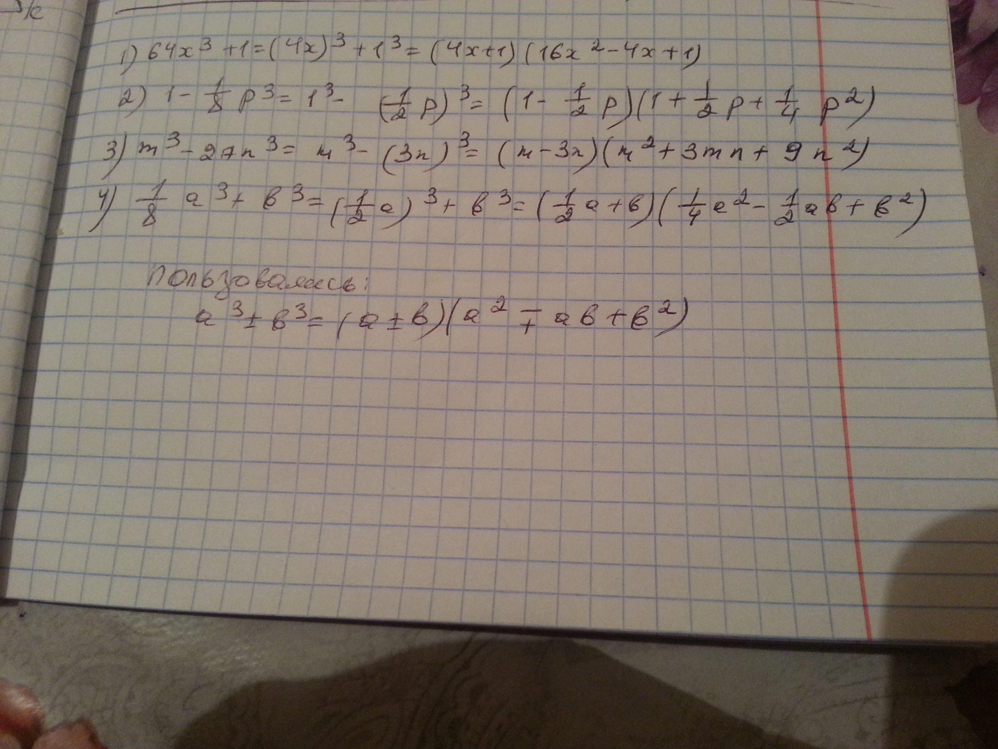
а)64x^3+1
б)1 - 1/8p^3 (1/8 это дробь)
в)m^3-27n^3
г)1/8a^3+b^3 (1/8 это дробь)
ДАМ 20 БАЛЛОВ) прошу ПОМОГИТЕ!!!
Ответы
Ответ дал:
0
Ответ ответ ответ ответ ответ
Приложения:

Вас заинтересует
2 года назад
2 года назад
7 лет назад
9 лет назад
9 лет назад
10 лет назад