Ответы
Ответ дал:
0
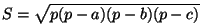
Попробуем решить эту задачу чере =з формулу Герона.Сначала находим полупериметр=(4+13+15)/2=16
Ну а дальше по этой формуле подстовляем и считаем! (смотри во вложениях)
s=корень 16*12*3*1=24.
Ответ:площадь тр.=24
Приложения:

Вас заинтересует
2 года назад
2 года назад
8 лет назад
10 лет назад
10 лет назад