• Предмет: Алгебра
  • Автор: Сашуня6666
  • Вопрос задан 9 лет назад

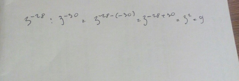
3^-28/3^-30 как рассписать решени?помогите...

Ответы

Ответ дал: irinka2442
0
Держииииииииииииииииии
Ответ дал: irinka2442
0
Блин, картинка не загрузилась
Ответ дал: popihaa
0
вот так вот)))))))))))
Приложения:
Вас заинтересует