• Предмет: Математика
  • Автор: Milashka0516
  • Вопрос задан 9 лет назад

Даю 15 баллов!!
Помогите пожалуйста!
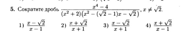
Сократите дробь.

Приложения:

Ответа на этот вопрос пока нет. Попробуйте найти его через форму поиска.

Вас заинтересует