• Предмет: Математика
  • Автор: Angelochek02
  • Вопрос задан 9 лет назад

Помогите пожалуйста!
Даю 15 баллов.
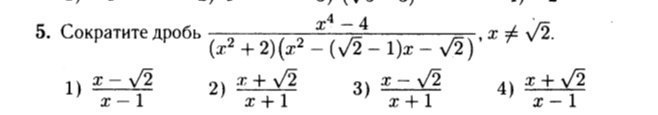
Очень нужно решить, сократите дробь.

Приложения:

Ответы

Ответ дал: Vuacheslav11042003
0
Корень 5 в 3 степени
Вас заинтересует