Ответы
Ответ дал:
0
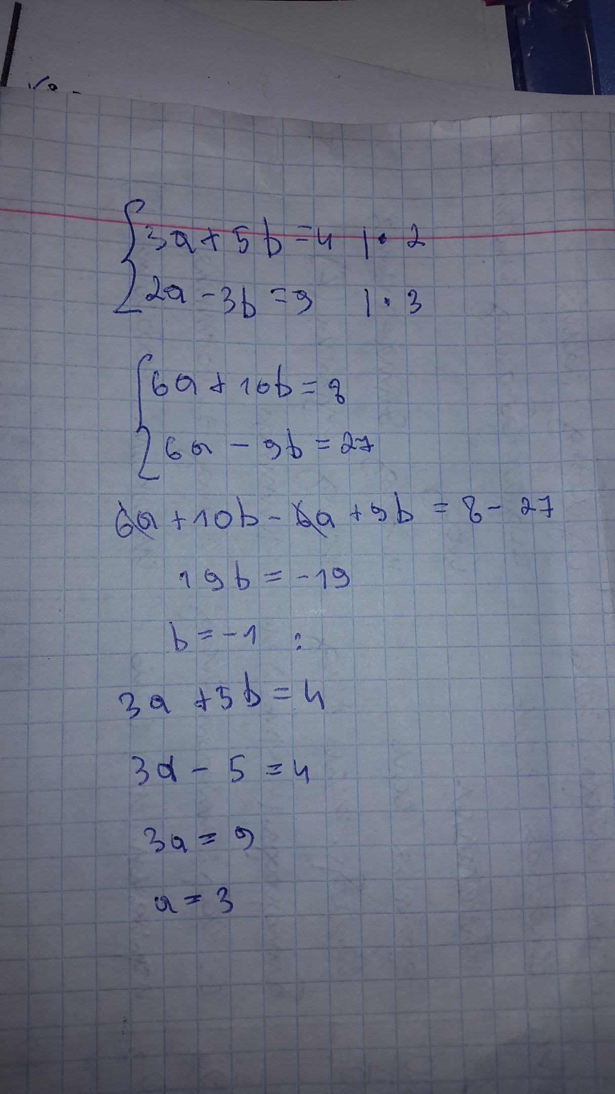
3a+5b=4
2a-3b=9
первое уравнение умножаем на 2:6a+10b=8;а второе умножаем на 3:6a-9b=27
затем из первого уравнением вычитаем второе
6a+10b-6a+9b=8-27
19b=-19
b=-1
3a-5=4
3a=9
a=3
Ответ:a=3 b=-1
Ответ дал:
0
ответ:
а=3
b=-1
Метод вычитания
а=3
b=-1
Метод вычитания
Приложения:

Вас заинтересует
2 года назад
2 года назад
7 лет назад
7 лет назад
10 лет назад