• Предмет: Алгебра
  • Автор: Cat123343223
  • Вопрос задан 9 лет назад

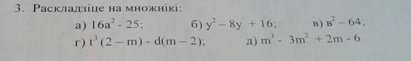
Помогите пожалуйста
Задание на фото

Приложения:

Ответа на этот вопрос пока нет. Попробуйте найти его через форму поиска.

Вас заинтересует