Ответы
Ответ дал:
0
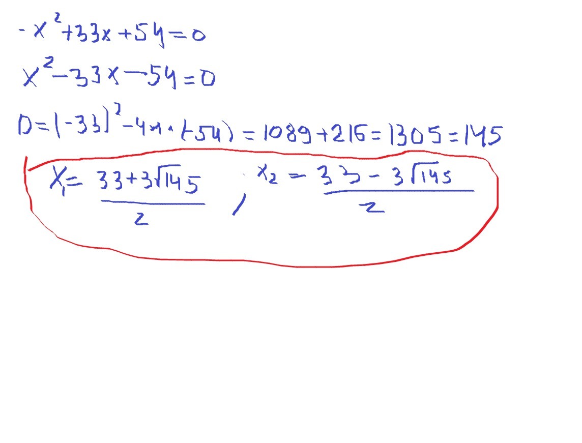
Здравствуйте, Ваше задание решено!!!ответ с подробным решением во вложении!!!
Отметь как лучший ответ!!
Отметь как лучший ответ!!
Приложения:


Вас заинтересует
2 года назад
2 года назад
7 лет назад
7 лет назад
9 лет назад
9 лет назад
10 лет назад